Reviews02_ref1


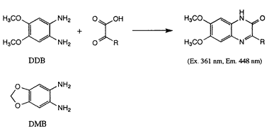
Fig.1 Fluorogenic reaction of ƒ¿-keto acids with DDB (or DMB).